01
文章背景简介
BACKGROUND INTRODUCTION
L-苏氨酸(Threonine,Thr)是人体自身无法合成,必须从食物中摄取的8种必需氨基酸之一,是蛋白质合成的重要组成成分,广泛应用于饲料、食品、医药等多个领域,常添加到未成熟仔猪和家禽饲料中,是猪饲料中的第二限制性氨基酸和家禽饲料中的第三限制性氨基酸。目前生产苏氨酸的方法主要有动物蛋白水解和微生物发酵两种。与前者相比,微生物发酵法具有成本低、污染少等优点。在苏氨酸生产过程中,大肠杆菌是主要的宿主。这归因于其简单的遗传背景和方便通过代谢工程修饰。此外,它具有生长周期短、细胞强度高、对设备要求低等特点。Thr的高效合成不仅依赖于某一特定限速反应效率的大幅提高,还需要生物合成网络中多种代谢途径的平衡,如强化靶代谢流、削弱竞争性分支代谢流、提高细胞外转运效率等。
代谢通量分析(Metabolic flux analysis, MFA)是一种通过细胞内反应化学计量模型的代谢网络分析方法,该模型基于伪稳态假设,即所有代谢物的代谢通量分布是在代谢途径中生产速率和消耗速率之间的动态平衡中估计的。该方法已成功应用于某些氨基酸的代谢分析,并显著节省了实验成本。由于代谢途径中代谢物的合成受多种酶催化反应的控制,因此有必要研究这些酶对碳通量的控制作用。代谢控制理论认为,每一步代谢途径反应的变化都会引起系统参数的变化,因此代谢途径中生化反应没有稳定的限速步骤。
通量控制系数(FCC)和弹性系数构成了代谢控制分析的遗传理论,描述了整个代谢网络中的全局参数,是酶活性与代谢通量之间的桥梁。细胞代谢分析的另一种方法依赖于代谢组学技术,通过GC/MS或LC/MS检测代谢物的变化,准确反映不同条件下的代谢变化。因此,为了探究联合代谢分析是否可以指导大肠杆菌提高Thr的产量,江南大学生物技术学院的Qiang Yang等人开展了相关研究,并于2022年在《Frontiers in Bioengineering and Biotechnology》杂志(IF=5.7;JCR Q1;中科院工程技术类2区)发表了题为“Combined metabolic analyses for the biosynthesis pathway of L-threonine in Escherichia coli”的文章。
02
所用到的主要方法
METHODS
(1)补料分批发酵
(2)内标法定量
(3)气相色谱-质谱联用(GC-MS)
(4)高效液相色谱
(5)生物传感器测定代谢物
(6)考马斯亮蓝G250染色法
03
文章主要内容摘要
ABSTRACT
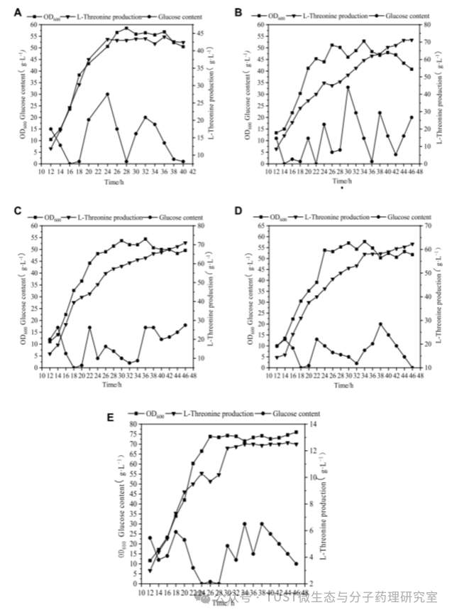
目前,工业生产L-苏氨酸的方法主要是利用大肠杆菌等微生物直接发酵,具有成本低、生产率高的特点。为了阐明大肠杆菌苏氨酸合成途径的关键代谢特征,为该菌株的代谢调控或工程化提供线索,研究者以菌株W3110为对照对一株L-苏氨酸高产菌株E.coliTWF001进行了代谢通量、酶控和代谢组学分析。通过GC-MS检测,对代谢物进行定性和定量分析,结果表明菌株TWF001和W3110在氨基酸、有机酸、脂肪酸、糖、醇等物质含量方面的确存在显著差异。与对照菌株W3110相比,TWF001的L-丙氨酸、L-谷氨酸、L-天冬氨酸和脂肪酸化合物含量显著降低。而TWF001产生的苏氨酸含量较高,其他副产物氨基酸的碳代谢流量较少。由于环境干扰和基因改造是两种重要的代谢分析方法,因此选择在培养基中添加磷酸盐和比较不同基因型菌株作为两种候选方法。通过对关键节点、酶和生物标记物等重要靶点的鉴定,为菌种的合理设计提供了靶点。最后以该研究中确定的一种生物标志物为例进行代谢调控,证实了联合代谢分析可以指导大肠杆菌提高苏氨酸的产量。
简而言之,本研究的主要内容有:
1、Thr生物合成途径代谢分析
2、PEPC、PK、G6PD、FBA、MDH等酶可以作为苏氨酸代谢通量的描述性指标
3、磷酸盐作为环境干扰物会影响Thr的积累
4、E. coli TWF001和W3110在各代谢物含量方面存在显著差异
5、在培养基中加入L-谷氨酸,证实L-谷氨酸可能通过将代谢流迁移而不是增加生物量来提高Thr的产量




原文标题 : 大肠杆菌中L-苏氨酸生物合成途径的联合代谢分析
未经允许不得转载:医械工坊资讯 » 大肠杆菌中L-苏氨酸生物合成途径的联合代谢分析
