大家好,今天糖葫芦跟大家分享一篇的6+分的学习笔记。
题目:乳腺癌或头颈癌放射敏感性预测因子的分子分析
一、研究背景
近一半的癌症是单独或联合放射治疗,放疗除了对癌症的治疗作用外,不可避免地涉及到正常组织的暴露,其中晚期和急性不良反应是治疗的剂量限制因素。目前,还没有可以可靠地预测个体对放射治疗反应的检测方法。这篇学习笔记从血浆蛋白和单核苷酸多态性两个角度寻找放射敏感性预测因子和预测模型。
二、分析流程

三、结果解读1、样本的筛选
血液样本来自先前放射治疗(RT)的乳腺癌(BC)和头颈癌患者(HNC),采集血样的时间点为完成 RT 后 1 至 8 年,他们对放射的敏感性(使用ICPL区分,RR:耐辐射;RS:辐射敏感)均已知:BC 患者 29 例(12 例 RR 和 17 例 RS),HNC 患者 74例(37 例 RR 和 37 例 RS)。
基于先前的实验研究、网络分析工具以及其他文献资料筛选出130个蛋白质,并且使用探索性亲和蛋白组学挑选出259个抗体;通过文献资料筛选出33个基因中的 55 个单核苷酸多态性(SNPs)。
在 BC 研究集中,没有发现不完整或离群样本。在 HNC 研究集中,由于技术原因,排除了两个样本,并在主成分分析(PCA)图中发现其中一个样本存在一个具有不同蛋白质组学特征的离群点。因此,最终确认了100 个用于本次研究的样本:BC 患者 29 例(12 例 RR 和 17 例 RS),HNC 患者 71 例(35 例 RR 和 36 例 RS)。患者对辐射的敏感性状态没有不平衡。
2、正常组织和癌组织对辐射的应答——研究蛋白
使用单因素分析筛选到8个在RR和RS患者之间存在显著性差异的蛋白(Wilcoxon秩和分析p<0.05):STIM1, THPO, AKT1, IFNG, TPI1, DCXR, PNKD 和 FN1(图1A、B)。

图1. Top候选者的蛋白质谱 (A) STIM1 (B) THPO
使用logistic回归筛选到额外的5个蛋白:SEPT7, ERCC1,IFNG , RAB5B 和 MBOAT7。同时,logistic回归显示对辐射敏感性和年龄、性别以及癌症的类型均无关。
由于单变量分析不能控制所选候选预测器的冗余(也就是说,由于独立的、信息丰富的目标蛋白数量有限,一组高相关的目标蛋白可能具有较小的预测能力),因此作者通过计算候选蛋白之间的关系系数(图2A),并比较了其与所有候选蛋白质之间的成对相关系数的分布(图 2B)。大多数候选蛋白质谱呈正相关。其中在STIM1 和 AKT1(r=0.73>0.7)、IFNG 和 PNKD(r=0.73>0.7)之间存在最高的正相关关系(图3D), MBOAT7 和 IFNG(r=-0.35)存在最高的负相关关系(图3B)。

图2. 候选蛋白之间相关性

图3. 候选蛋白之间相关性
使用 KEGG 通路对入围蛋白进行功能注释,结果显示候选蛋白与癌症信号、免疫反应、细胞增殖、代谢途径和 DNA 修复这几种生物学功能相关。
通过sandwich免疫分析验证上述实验中发现的最强的 RS 候选蛋白——THPO 和 STIM1。使用 THPO 的六种抗体和 STIM1 的五种抗体的组合。HNC 样品的分析结果显示:不同捕获抗体对同一靶点的蛋白谱高度相关(图 4A)。三种 STIM1 抗体 (HPA011018、HPA011088、HPA012123)和三种 THPO 抗体(HPA019596、HPA048828、HPA051629)显示出显著的一致性趋势(图 4B,C)。

图4A. STIM1和THPO抗体之间的相关性

图4B、C. 使用sandwich免疫检测来确定HNC样本集中(B)STIM1和(C)THPO的趋势
3、患者基因型及其与放射敏感性的关系
紧接着,对BC、HNC两个样本集中的33个基因的55个SNPs进行分析。有 5 个SNP 位于 VEGFA (血管内皮生长因子)区域。通过 TRRUSTv2 数据库搜索 VEGFA 转录因子(TFs),作者发现了另外6 个SNPs:HIF1A(缺氧诱导因子)中含有5个 SNP , TP53(17号染色体的基因,编码一种抑癌蛋白)中含有1个 SNP。总的来说,3个基因(VEGFA、HIF1A、TP53)的11个SNP分析结果表明:仅在rs699947不同基因型的患者中VEGFA具有显著不同的等位基因频率(p=0.048)(图5)。因此,在基因型水平上,使用SNPs预测辐射敏感性没有统计学意义。

图5. 不同基因型(AA-野生型、Aa-杂合子、AA-突变型)患者的VEGFA蛋白水平
4、 多蛋白模型预测放射敏感性
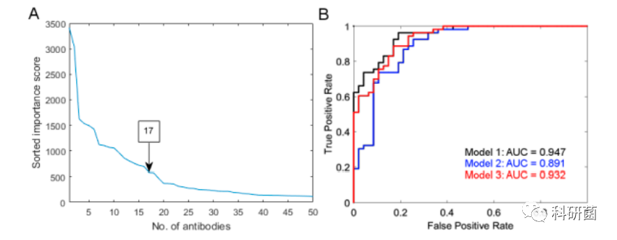
使用多重随机验证(MRV)方法,根据抗体与 RS 状态的相关性和重要性评分对抗体进行排序。并使用“knee”方法来选择最相关的抗体,从而选择了 17 个抗体(图6A)。与之对应的的蛋白分别是:AKT1、FN1、PNKD、STIM1、THPO、BLVRB、CHIT1、DBNL、FGA(对应2个抗体)、GCA、PDGFB、PGR、PPARA、RP2、SERPINC1 和 SLC4A1。
模型一:基于17个抗体;模型二:基于8个蛋白(CHIT1、PDGFB、PNKD、RP2、SERPINC1、SLC4A、STIM1、THPO 、PNKD和RP2);模型三:在模型二的基础上增加了一个SNP(rs699947)。对这三个模型进行ROC曲线分析(图6B),结果显示模型一具有最好的诊断效能(区分RS和RR的能力),而模型二的诊断效能最差。

图6A. 基于多重随机验证(MRV)的抗体排序 图6B. 三个模型的ROC曲线比较
计算各模型RS 预测因子的OR值。结果显示:对于绝大多数模型中涉及的蛋白质谱,蛋白质水平的增加预示着患者作为 RS 的几率更高(表1)。同时,在模型 3 中观察到显著预测因子的比例最高,显著预测因子包括CHIT1、PDGFB、PNKD、RP2、SERPINC1、SLC4A、STIM1 和 THPO 。

表1. 各模型RS 预测因子的OR值
使用逻辑回归(LR)并根据阈值对各模型的分类性能做了总结。结果显示:对于模型 1,观察到 BC 和 HNC 患者的相似结果,而模型2和模型3 对 HNC 患者的 RS 状态预测更准确。

表2. 各模型的逻辑回归(LR)结果
小结
基于乳腺(n=29) 和头颈部癌症患者(n=74)样本进行两组研究:对 33 个基因中的 55 个单核苷酸多态性(SNPs)进行基因分型、通过基于亲和力的血浆蛋白质组学研究130 循环蛋白。在这两个研究集中,发现了几种具有预测能力的血浆蛋白,并通过sandwich免疫分析验证了两种最具预测能力的蛋白质(THPO 和 STIM1)。通过将基因型和蛋白质组学数据整合到分析模型中,作者发现 CHIT1、PDGFB、PNKD、RP2、SERPINC1、SLC4A、STIM1 和 THPO 以及 VEGFA 基因变异体 rs69947 预测了乳腺癌(AUC=0.76)和头颈部癌(AUC=0.89)患者的放射敏感性。点击下方的阅读原文,即可获取学习笔记原文。
未经允许不得转载:医械工坊资讯 » 乳腺癌或头颈癌放射敏感性预测因子的分子分析
